반응형
Logistic Regression

lab-05-1-logistic_regression.py
# Lab 5 Logistic Regression Classifier
import tensorflow as tf
tf.set_random_seed(777) # for reproducibility
x_data = [[1, 2],
[2, 3],
[3, 1],
[4, 3],
[5, 3],
[6, 2]]
y_data = [[0],
[0],
[0],
[1],
[1],
[1]]
# placeholders for a tensor that will be always fed.
X = tf.placeholder(tf.float32, shape=[None, 2])
Y = tf.placeholder(tf.float32, shape=[None, 1])
W = tf.Variable(tf.random_normal([2, 1]), name='weight')
b = tf.Variable(tf.random_normal([1]), name='bias')
# Hypothesis using sigmoid: tf.div(1., 1. + tf.exp(tf.matmul(X, W)))
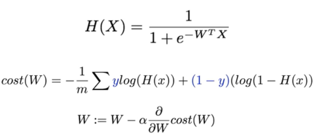
hypothesis = tf.sigmoid(tf.matmul(X, W) + b)
# cost/loss function
cost = -tf.reduce_mean(Y * tf.log(hypothesis) + (1 - Y) *
tf.log(1 - hypothesis))
train = tf.train.GradientDescentOptimizer(learning_rate=0.01).minimize(cost)
# Accuracy computation
# True if hypothesis>0.5 else False
predicted = tf.cast(hypothesis > 0.5, dtype=tf.float32)
accuracy = tf.reduce_mean(tf.cast(tf.equal(predicted, Y), dtype=tf.float32))
# Launch graph
with tf.Session() as sess:
# Initialize TensorFlow variables
sess.run(tf.global_variables_initializer())
for step in range(10001):
cost_val, _ = sess.run([cost, train], feed_dict={X: x_data, Y: y_data})
if step % 200 == 0:
print(step, cost_val)
# Accuracy report
h, c, a = sess.run([hypothesis, predicted, accuracy],
feed_dict={X: x_data, Y: y_data})
print("\nHypothesis: ", h, "\nCorrect (Y): ", c, "\nAccuracy: ", a)
Result
'''
0 1.73078
200 0.571512
400 0.507414
600 0.471824
800 0.447585
...
9200 0.159066
9400 0.15656
9600 0.154132
9800 0.151778
10000 0.149496
Hypothesis: [[ 0.03074029]
[ 0.15884677]
[ 0.30486736]
[ 0.78138196]
[ 0.93957496]
[ 0.98016882]]
Correct (Y): [[ 0.]
[ 0.]
[ 0.]
[ 1.]
[ 1.]
[ 1.]]
Accuracy: 1.0
'''
lab-05-2-logistic_regression_diabetes.py
# Lab 5 Logistic Regression Classifier
import tensorflow as tf
import numpy as np
tf.set_random_seed(777) # for reproducibility
xy = np.loadtxt('data-03-diabetes.csv', delimiter=',', dtype=np.float32)
x_data = xy[:, 0:-1]
y_data = xy[:, [-1]]
print(x_data.shape, y_data.shape)
# placeholders for a tensor that will be always fed.
X = tf.placeholder(tf.float32, shape=[None, 8])
Y = tf.placeholder(tf.float32, shape=[None, 1])
W = tf.Variable(tf.random_normal([8, 1]), name='weight')
b = tf.Variable(tf.random_normal([1]), name='bias')
# Hypothesis using sigmoid: tf.div(1., 1. + tf.exp(-tf.matmul(X, W)))
hypothesis = tf.sigmoid(tf.matmul(X, W) + b)
# cost/loss function
cost = -tf.reduce_mean(Y * tf.log(hypothesis) + (1 - Y) *
tf.log(1 - hypothesis))
train = tf.train.GradientDescentOptimizer(learning_rate=0.01).minimize(cost)
# Accuracy computation
# True if hypothesis>0.5 else False
predicted = tf.cast(hypothesis > 0.5, dtype=tf.float32)
accuracy = tf.reduce_mean(tf.cast(tf.equal(predicted, Y), dtype=tf.float32))
# Launch graph
with tf.Session() as sess:
# Initialize TensorFlow variables
sess.run(tf.global_variables_initializer())
for step in range(10001):
cost_val, _ = sess.run([cost, train], feed_dict={X: x_data, Y: y_data})
if step % 200 == 0:
print(step, cost_val)
# Accuracy report
h, c, a = sess.run([hypothesis, predicted, accuracy],
feed_dict={X: x_data, Y: y_data})
print("\nHypothesis: ", h, "\nCorrect (Y): ", c, "\nAccuracy: ", a)
Result
'''
0 0.82794
200 0.755181
400 0.726355
600 0.705179
800 0.686631
...
9600 0.492056
9800 0.491396
10000 0.490767
...
[ 1.]
[ 1.]
[ 1.]]
Accuracy: 0.762846
'''
반응형
'Deep Learning lecture' 카테고리의 다른 글
| ML lec 6-2: Softmax classifier 의 cost함수 (0) | 2020.05.03 |
|---|---|
| ML lec 6-1 - Softmax Regression: 기본 개념 소개 (0) | 2020.05.03 |
| ML lec 5-2 Logistic Regression의 cost 함수 설명 (0) | 2020.04.28 |
| ML lec 5-1: Logistic Classification의 가설 함수 정의 (0) | 2020.04.28 |
| ML lab 04-2: TensorFlow로 파일에서 데이타 읽어오기 (new) (0) | 2020.04.27 |
댓글