반응형
Cost function

linear regression에서 cost function을 그리면 곡선형이 그리지고 global minimum을 갖게된다. 그렇다면 logistic function의 cost는 어떻게 될까? logistic function의 cost function을 그려보면 하나의 global minimum과 여러 개의 local minimum이 생기느 그림이 그려진다.
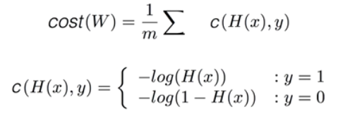
New cost function for logistic

Cost function

Minimize cost - Gradient decent algorithm

반응형
'Deep Learning lecture' 카테고리의 다른 글
| ML lec 6-1 - Softmax Regression: 기본 개념 소개 (0) | 2020.05.03 |
|---|---|
| ML lab 05: TensorFlow로 Logistic Classification의 구현하기 (new) (0) | 2020.04.28 |
| ML lec 5-1: Logistic Classification의 가설 함수 정의 (0) | 2020.04.28 |
| ML lab 04-2: TensorFlow로 파일에서 데이타 읽어오기 (new) (0) | 2020.04.27 |
| ML lab 04-1: multi-variable linear regression을 TensorFlow에서 구현하기 (new) (0) | 2020.04.27 |
댓글