Fourier Transform and system
· Time-to-frequency transform
- Continuous-Time Fourier Transform, CTFT
- Discrete-Time Fourier Transform, DTFT
- Discrete Fourier Transform, DFT
· system equation
- Frequency response
- z-transform
CTFT and DTFT
· Continuous-Time Fourier Transform(CTFT)

t : time in sec
f : frequency in Hz
x(t) ↔ X(f)
시간을 스펙트럼으로 바꾸는 것, 스펙트럼을 시간으로 바꾸는 두 가지 공식이다.
주파수를 정의하는 기본적인 식은 exp(j*2*pi*f*t)이다.
correlation은 x(t)와 y(t) 상관 관계(비슷한 정도)를 나타낸다. 두 신호가 독립일 경우 0, 유사할 수록 높은 값을 갖는다.
x(t)를 가지고 X(f) 스펙트럼을 구하고 싶을 때, x(t)에는 1Hz 성분이 얼마나 있는지, 2Hz 성분이 있는지, 모든 주파수에 대해 둘 사이의 correlation을 측정하면 그것이 곧 스펙트럼이 된다.
즉, correlation와 basis signal을 통해서 fourier transform을 이해할 수 있다.
· Conversion form x(t) to x[n]
-x(t)를 sampling 과정을 통하여 x[n]으로 변경시킨다. sec단위의 시간은 사라지고 일렬번호식으로 0, 1, 2, .., n으로 맵핑이 된다.

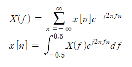
· Discrete-Time Fourier Transform(DTFT)
-DT(discrete-time) waveform : x[n]
-CF(continuous-frequency) spectrum : X(f)

x(t) 신호를 CTFT하면 아래와 같은 스펙트럼을 갖는다고 가정해보자.
그렇다면 x(t)를 시간축에서 T마다 sampling시키면 스펙트럼의 모양은 1/T마다 반복되고 크기는 1/T로 줄어든다. 즉, 샘플링 주파수만큼 반복되게 된다.
그 다음 t를 n으로 conversion하게 되면 1T가 1n으로 바뀌는 듯 보인다. 즉, 시간축에서 1/T로 오므라든다. 시간축에서 스케일링을 통하여 좁게 가져가면 스펙트럼은 반대방향으로 넓어진다. 시간축에서 1/T로 오므라드니까 스펙트럼은 넓어진다. (좌우로 벌어진다.)
정리하자면 x(t)가 x[n]으로 바뀌는데 sampling 간격은 T이다. 그렇다면 스펙트럼은 T배 벌어지게 되고, 1마다 반복되게 된다. 1마다 반복되는데 1이 1/T에 해당되는 위치인데 sampling frequency(hz)에 해당한다.

그렇다면 적분의 영역이 왜 0.5에서 -0.5로 한정될까? CTFT에서는 f축에 하나가 있는데 DTFT에서는 동일한 모양이 반복되게 된다. 그 반복 간격은 1이다. 그래서 DTFT의 스펙트럼은 1마다 반복되게 된다.
· DTFT spectrum 성질
-f=1.0 마다 바복
-0.5<f<0.5가 모든 spectrum 정보를 포함
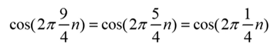
-cosine 신호 성질

주파수가 9/4인것처럼 보인다. 하지만 1, 2, 3 4.. 를 더하거나 빼도 같은 주파수이게 된다.

-최고 주파수 0.5
'signal processing' 카테고리의 다른 글
| Mel-spectrogram (1) | 2020.05.28 |
|---|---|
| 물리적 거리에 따른 음성 이동경로 측정 방법 (아날로그 딜레이) (0) | 2020.05.26 |
| Fourier Transform and System (2) (0) | 2020.04.25 |
댓글